近日,华体会平台建筑工程学院李泽/杜猛课题组在人工智能驱动数字岩心表征领域取得重要研究进展,相关成果以“Study on the detection method of physical anomaly parameters of tight reservoirs based on the isolated forest algorithm of attention mechanism” 为题,发表于地质能源科学工程领域国际顶级期刊《Geoenergy Science and Engineering》。

准确表征深层致密油储层的岩石物理性质对于制定合理开发策略至关重要。然而,由于深层储层岩体地质结构复杂多变,岩石力学物性参数异常值的频发导致储层精准评价及有效开发失准。传统储层异常值消除通常依赖于专家经验及工程实践统计分析,难以满足复杂地质高维数据异常值的评价及清洗。针对此核心挑战,团队提出了一种融合注意力机制的孤立森林算法模型来识别和清洗储层评价参数的异常值,关键突破在于该模型通过引入注意力机制动态调整特征权重,使得模型在处理高维数据和复杂关联时,能够更加集中地关注对异常值检测时至关重要的特征,从而准确识别并清除异常值,获得高质量评价数据集。

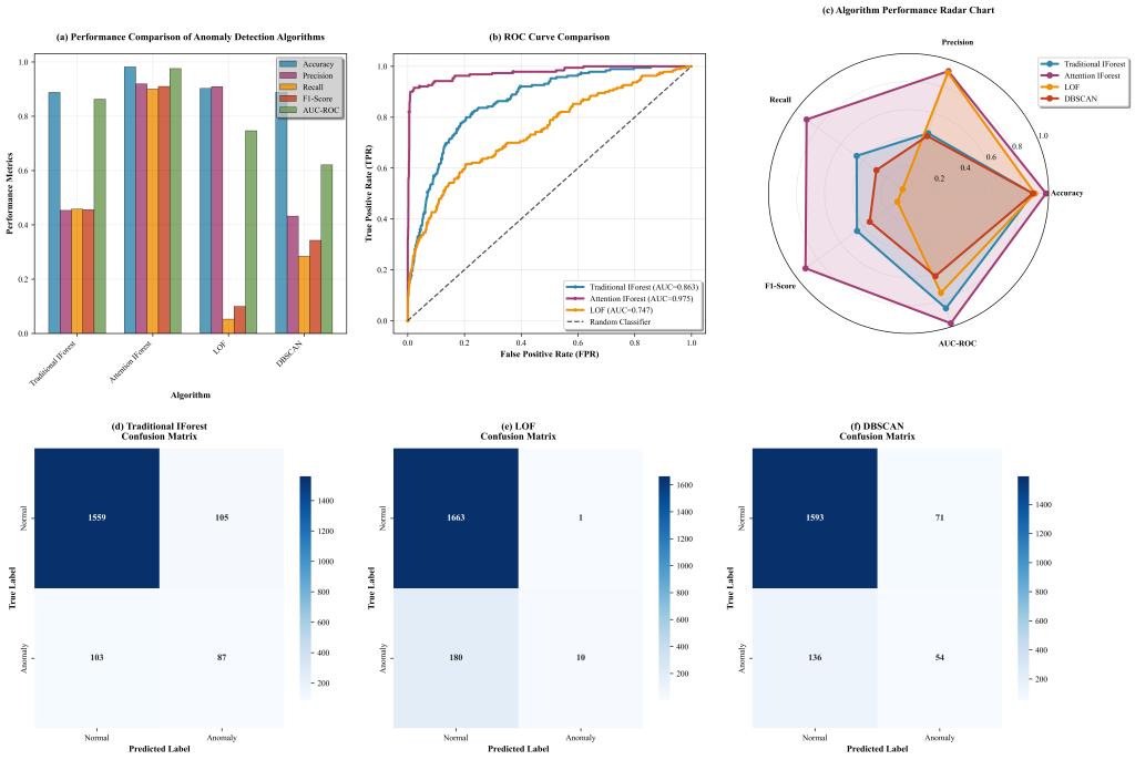
研究创新性地将注意力机制融合到孤立森林算法中,基于键、值、查询三个组件为每个评价参数特征值分配归一化权重,进而构建注意力机制输出。为了评估所提出融合注意力机制模型的性能,通过收集并分析1854个岩石物理参数(孔隙度、渗透率、中值孔喉半径、驱替压力、最大汞饱和度)数据集,测试了不同的决策阈值τ和森林中树的数量T对模型的影响,引入了动态污染率以增强模型对异常值检测能力,并与传统孤立森林算法进行对比。结果表明,在决策阈值τ和树数量T的所有组合中,基于注意力机制的孤立森林算法的F1得分普遍高于传统孤立森林算法,表明注意力机制通过对特征加权,能更准确地区分复杂数据集中异常与非异常数据点。此外,将经过该算法剔除异常值的数据集导入k-means聚类算法中,可见数据集群内方差显著减小,数据分布更能准确反应储层实际情况,相关分析强调了融合注意力机制的孤立森林算法在检测异常值时具备更高的检测精度和鲁棒性。该研究为数据密集型及复杂高维地质数据场景下设计可靠的异常检测策略及勘探开发甜点精确识别提供了重要价值。

华体会平台杜猛副教授为论文通讯作者,张育豪博士为论文第一作者,华体会平台为论文唯一通讯单位。该研究得到了国家自然科学基金、国家科技重大专项项目等科技项目的支持。
论文链接:https://doi.org/10.1016/j.geoen.2025.214310
(供稿:建筑工程学院)