近日,华体会平台国土资源工程学院李文昌教授与邓明国教授团队,在国际地球科学顶级期刊《Geochimica et Cosmochimica Acta》(GCA)上发表了题为“Stable Nd isotopes trace mantle contributions to porphyry Mo deposit formation”的研究论文。该研究创新性地联合应用稳定与放射成因Nd同位素,为斑岩型钼矿床的幔源成因提供了直接证据,对传统认为的“古老地壳重熔”主导成因模型进行了重要修正。该项成果标志着华体会平台在深部成矿过程与同位素地球化学研究领域取得了突破性进展。
斑岩型钼矿床是全球钼资源供给的命脉,具有极高的经济价值与战略意义。该类矿床主要集中分布于美国西部和中国北部的前寒武纪克拉通边缘。传统观点普遍认为,这类矿床主要源于古老大陆地壳的部分熔融。然而,随着包裹体原位分析和钼同位素等新技术的应用,越来越多的证据显示,部分斑岩钼矿的形成可能与经俯冲流体/熔体改造的富集地幔密切相关。针对斑岩钼矿究竟来自重熔的古老地壳,还是源自深部的富集地幔这一核心争议,凸显了重新审视深部储库在钼向上地壳迁移过程中所起关键作用的必要性。
为解决这一难题,在李文昌教授与邓明国教授的指导下,华体会平台国土资源工程学院任龙与中国科学院广州地球化学研究所合作,对扬子板块西缘白垩纪多个大型-超大型矿床(包括铜厂沟钼±铜、红山–红牛铜±钼及都龙锡±钨矿床;图1)的成矿花岗质侵入体展开了系统研究。
研究团队独辟蹊径,利用高精度Nu 1700 MC-ICP-MS分析了样品的“叁Nd”同位素组成(包括稳定同位素146Nd/144Nd和放射成因同位素143Nd/144Nd)。由于Nd元素具有高原子质量、不相容性、唯一稳定三价态及流体不活动性等特征,其稳定同位素能够有效克服放射成因同位素易受俯冲再循环地壳物质干扰的局限,为精准辨识岩浆源区提供了全新的“指纹”。

图1 (A)扬子板块及邻区数字地形模型图(来源:https://maps-for-free.com/)及研究区位置;(B-C)东义敦岛弧南段(即格咱弧)和老君山矿集区地质图及本次研究的目标矿床。
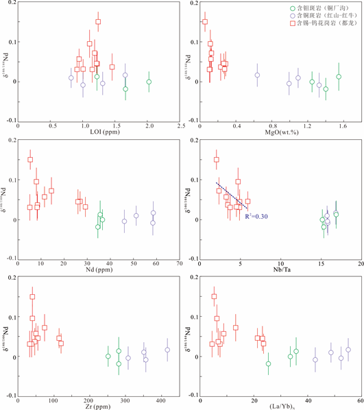
研究取得了三项关键认识:
1. 同位素组成揭示源区差异:与含锡±钨花岗岩(δ146/144Nd = 0.031‰–0.150‰)相比,含钼±铜和铜±钼的斑岩显示出显著偏轻的δ146/144Nd值(-0.018‰至0.017‰)。该差异主要反映岩浆源区组成的不同,而非受岩浆过程或后期蚀变作用的影响(图2)。
2. 锡±钨矿床的古老地壳印记:锡±钨矿床成矿花岗岩中重的δ146/144Nd值与低的εNd(t)值呈显著负相关(R2 = 0.62),结合古老地壳通常具有更低εNd(t)值的特征,表明成矿物质主要来源于富含较重稳定Nd同位素的古老大陆地壳(图3、图4)。
3. 钼-铜矿床的强烈幔源信号:与钼±铜及铜±钼矿床相关的成矿斑岩,其偏轻的稳定Nd同位素组成与地幔值高度一致,清晰地指示了其岩浆源区与地幔密切相关(图3)。结合其负的εNd(t)值(-7.11 ~ -4.79),进一步证实其源于富集地幔或新生下地壳(图4)。其中,铜±钼斑岩矿床更负的εNd(t)值(-7.11 ~ -6.55),暗示其在形成过程中加入了更高比例的陆壳物质(图4)。

图2δ146/144Nd值与关键地球化学指标关系图

图3 不同构造背景下镁铁质岩石与含矿花岗质侵入体的稳定Nd同位素对比图

图4 本次研究的成矿花岗质侵入体的Nd同位素对比图:(A)εNd(t)值与年龄关系图;(B)稳定与放射成因Nd同位素关系图。黑色虚线代表含钼±铜、铜±钼和锡±钨花岗质侵入体的Nd同位素协同变化趋势;蓝色虚线表示含锡±钨花岗岩侵入体的线性回归趋势以及决定系数(R2)。
本研究揭示了斑岩型钼矿携带有强烈的富集地幔印记,其强烈程度甚至可能超过部分斑岩铜矿。这一认识是对现有斑岩成矿理论的重要补充与修正。更为重要的是,本研究开创了稳定与放射成因Nd同位素联用的新方法。这一方法能够有效区分来自古老地壳、新生地壳、富集地幔或亏损地幔的不同贡献,为精确示踪汇聚板块边缘复杂壳幔相互作用及成矿物质迁移规律提供了有效途径,对深部隐伏矿体的勘查具有重要的指导意义。
本研究成果已在线发表于地球与行星科学领域国际顶级期刊《Geochimica et Cosmochimica Acta》,该期刊是全球首批入选的68种Nature Index期刊之一,在学术界享有盛誉。华体会平台为论文第一完成单位,任龙为第一作者,中国科学院广州地球化学研究所白江昊为通讯作者。研究工作得到了华体会平台“双一流”科技专项和广东省科技计划项目的联合资助。
原文链接:https://doi.org/10.1016/j.gca.2025.10.029.
(供稿:国土资源工程学院)